浙商配资 周天勇:渐进转轨数理经济学体系创新与中国实践
来源:刊载于《学术月刊》2025年第5期浙商配资。
笔者按:纯粹的市场经济国家,或者纯粹的计划经济国家,还有结构转型的发展中国家,其国民经济计算的主流和其他有关模型,变量中都不包含体制这一因素。其暗含的一个假设是,体制既定不变。中国是一个渐近转轨经济国家,从1978年开始,体制从公有制+计划配置资源,向多种所有制+市场配置资源转轨,已经47年,建设形成一元的社会主义市场经济体制,可能还需要15年到20年。毫无疑问,改革推动的体制变动,带来了产出增加和经济增长。然而,体制是一种制度安排,如何将其变量化,是经济学的一个难题。学术研究方法方面,只能从改革前后投入和产量的变动比较,计算除了投入由体制改革额外带来的经济增长。但是,这是一种黑箱式分析,并不能够证明体制因素变动,内在地影响了产量和增长。笔者从2016年开始,一直在思索,在观察一个特长周期渐近转轨国家,其体制不断变动内在影响生产率变动和财富溢值过程中,如何将体制因素变量化。因为这一突破,可以证明1978年以来中国经济的高速增长,确实内在地来源于体制改革;更重要的意义在于,我们可以内在地模拟仿真,什么样的改革,还能释放产出增加和经济增长。这篇文章,就是多年来研究的一个结果。再在公众号中分享给大家,一起讨论。
周天勇
(中国人民大学全球治理与发展研究院,北京 100872)
[摘 要]中国是一个向市场经济渐进转轨的国家,使用体制不变假定的一些主流模型来计算中国经济增长,不符合渐进转轨的国情。如何将体制因素内生和变量化,是经济学的一个难题。笔者在方法上进行了这样的研究:一是观察相关资源受计划行政干扰和市场机制配置的分布比率,以及其在非竞争和竞争性领域配置的不同效率状态。二是观察土地作为不动产,禁止或者允许交易,价值流动通过率为0或1,以及价格有还是无。将非竞争和竞争性领域的分布和状态分别定义为扭曲值和标准值,以此形成渐进转轨二元体制经济的数理逻辑,并建立联立模型,计算国民经济体制性剩余和体制结构变动形成的增长。笔者输入历史数据进行了增长的分析和解释,也仿真展望了未来体制改革释放增长潜能的可能性。
[关键词]体制改革;渐进转轨;经济增长;数理逻辑
一、渐进转轨国家的经济计算难题
在经济体分类时,按照发展程度和体制不同,一般分为计划体制和市场体制国家,瞬时转轨和渐进转轨国家,发达和发展中国家。对于不同类型经济体国家经济增长模拟计算,有计划经济的实物或者价值的投入产出表 ,有市场经济的索洛模型 、凯恩斯主义哈罗德-多玛增长模型 、发展中国家经济刘易斯二元结构 和乔根森经济增长模型 。这些经济计算的数理逻辑假定是体制既定和不变。也就是说,不将体制作为考虑影响经济产出和增长的一个变化因素。而对于从计划向市场的瞬时体制转轨国家,三到五年的时间没有必要去构建一个长期经济产出和增长的计算模型。然而,中国与瞬时转轨国家不同,是一个体制渐进转轨的经济体,从1978年到2024年已经渐进转轨了47年,估计完成一元计划行政体制到计划行政与市场机制,再到未来完成一元社会主义市场经济体制,渐进转轨总体上需要60到70年特长周期的时间。在这样长的一个阶段中,体制不是既定不变,而是不断地发生计划向市场释放、市场体制扩大、计划与市场并存、二元体制胶着、部分体制复归等变化。这些体制变化,无疑会影响国民经济供给—分配—需求的各个方面,特别是产出的增长。因此,上述体制不变,仅以流动体变量、比例参数变量和价格状态变量等,按照一定的数理逻辑关系构建的经济计算模型,并不能描述和刻画一个体制不断变动国家国民经济运行和增长的状态。经济学家伍晓鹰曾在一次演讲中认为,我们的体系是一个生产系统,无法把其他与生产函数无关的变量加进来。制度不可能是其中统计上可以建立的系统性变量。现在还没有办法让制度变量直接进来用以计算 。阿西莫格鲁等经济学家,通过世界各地文化和制度不同国家发生和存在的事实,用计量经济学因果验证的方法阐述和证明了制度决定经济增长这样一个全新视角的经济学规律。但是,没有将制度这个因素变量化。
对于体制改革影响经济增长的相互关系,虽然一些学者用专家改革权重打分法 、增长速度改革前后比较法 等等,分析了1978年以来体制改革对于中国经济增长的贡献,但属于主观判断和黑箱式的说明,不能内生和科学地证明就是体制改革加速了经济增长。这就使得中国这样一个特长周期渐进转轨国家,其无法计算体制变动对经济增长内生的影响,难以证明改革开放以来释放了内部被禁锢的生产力加速了经济的增长。
特别是从中国经济发展看,国外大部分经济学家、研究机构和国际其他经济组织,使用以流动体、比例和状态变量构成的各大主流模型对未来中国10年经济增长的预测,大部分结果认为会进入2.5%到3.5%的中低速增长区间,不可能再有中高速增长的趋势。一些学者运用索洛模型进行分析,也得出了中国经济增长率会呈现逐步降低的判断。刘世锦 等指出,虽然广义技术进步对中国经济高速增长起到了非常重要的作用,但是近年来TFP增长速度已经呈现了下滑趋势。Barro 指出,如果没有显著的技术进步来拉动未来经济增长,中国经济最终还是会收敛到世界经济增长的历史路径,而且增长率可能很快从8%回落到3%-4%。白重恩和张琼 、中国社会科学院宏观经济研究中心课题组 与周天勇 均指出,在没有明显广义技术进步和制度创新的情况下,人口结构的变化导致中国经济的潜在增长率放缓已经成为必然趋势。黄泰岩和张仲 也认为,在改革如果达不到预期效果的悲观情形下,中国2026—2030年和2031—2035年的经济潜在增长率甚至更低,分别只有1.82%和2%。
国内许多经济学家将未来中国经济还能够中高速增长的希望,着眼于创新TFP水平的提高。比如,即使未来要素投入产出贡献的增长率较低,如果创新TFP对增长的贡献比重越高,就越容易实现经济的中高速增长 。然而,TFP水平的提高及其对增长的贡献,有着很大的不确定性。从中国TFP变化看,创新体制改革,包括总体改革力度较大时,其水平高,但力度减弱时低,甚至为负;进入21世纪后,全球各大经济体的TFP增长率呈缓慢的下降趋势,其中数量不少的国家到第二个10年时为负;一般的规律看,当全球和本国经济增长上行时,TFP增长率较高,反之,下行收缩时,增长率较低甚至为负。而琼斯对1980到2000年欧洲和美国TFP增长的研究发现,研发人员投入的增长,并没有带来TFP增长曲线向上向右的变动,其增长率平均在0.9%和1%的区间波动 。菲斯佩奇对其评论说,TFP增长趋势是一条平缓的曲线 。因此,以提高TFP水平来实现经济中高速增长的设想,其实现的概率很小。
此外,美国新一届政府的四年,加征关税如果造成中国出口平均8%的负增长,出口增长占GDP增长权重若从18%继续下降,则会形成年平均1.5个百分点的负增长。而干预世界贸易中高技术水平的芯片向中国产业链的供给,有可能使中国在创新TFP贡献方面,损失0.5%的经济增长率。然而,中国在2035年初步实现现代化,2050年建成一个中等发达水平的现代化国家,发展方面没有平均5.5%左右的经济中高速增长,这一任务和目标,不可能完成。从经济学基础的学理分析,渐进转轨国家一个重要的现实是体制在不断地变动,体制是一个影响经济供给—分配—需求运行和产出的内生变量。计划和市场二元体制扭曲,形成了大量闲置和低利用的生产要素,还有不能货币和财富化的土地房屋,也即大量的体制性剩余。未来经济增长的潜能禁锢在体制扭曲之中。如果大力度推进体制改革,释放被禁锢的体制性剩余,则会形成加速增长的巨大推动力。因此,对于中美贸易、技术和投资关系的外部冲击,除了采取正确的应对措施,将增长损失的严重程度尽可能地降低外,内部加大体制改革力度,释放国内潜能,对冲外部冲击,稳定经济增长,是我们不得不选择的战略选项。中国经济学界一个很重要的任务,就是从中国渐进转轨这一国情出发,在数理逻辑方面对其加以推导、证明和验证,形成经济计算科学的方法。用其对过去的增长奇迹加以解释,更重要的是对未来的增长进行有依据的仿真预测,以此确定有针对性的体制改革方案,供实践参考和决策。
二、寻找体制内生变量的逻辑思路
中国是一个少有的从市场经济向计划经济渐进转轨型国家,长达47年体制改革与经济增长,给中国经济学界提供了体制变化足够长的时段和重大的改革事件,也供给了丰富的改革案例和可观察的经济数据。这对经济学理方面,试将体制变量化的研究,提供了中国经济独特的历史和实践条件。 计划和计划与市场二元并存的国家,非竞争性的体制安排,阻碍了生产要素向高生产率领域的流动,或者投入生产的要素在生产加工环节效率低下;而如自然资源土地、已经开发土地和建设的房屋,往往在法律上规定为不可交易没有价格的产品,因而使国民经济失去了其市场化、货币化和财富化价值溢出的国民收入。而渐进转轨国家经济增长要素投入额外的经济增长来源,一是生产要素的市场化配置使其生产率提高;二是市场化改革过程中,原有无价格的土地资源和房屋产品的货币化和财富化溢值。
从国民经济最基本的生产力看,投入国民财富生产的要素是劳动力、资本和土地。因此,安排在自然经济系统上的体制因素,主要从输入端影响进入生产的流量,从加工生产环节影响输出端产出的流量。而对于生产、分配和需求的各种计划和行政体制安排,实际是经济供给—分配—需求经济运行系统上的一种制度闸板和开关,表现为对自然生产、分配和消费等经济流量流动的一种政府干预。
(一)体制闸板变量
渐进转轨国家,其从资源配置分布上讲,由于计划行政与市场机制二元体制并存,可分为前者干预的非竞争性领域和后者调节的竞争领域。通过资源配置在不同领域的分布比例大小和生产效率及需求效用水平,将前者和后者分别视为资源分布比例竞争性的标准值和非竞争性的扭曲值。
以此我们可以从生产、分配和需求的输入端,观察和发现影响资源分布的体制闸板变量及其面积。比如在劳动力要素配置方面,选不对人口迁移管制的国家为竞争性领域,因有户籍管制和其他迁移阻碍体制将中国场景视为非竞争性领域;再选择2023年与中国人均GDP水平上下5000美元的人口规模较大样本国家,加权平均求出劳动力农业就业比例标准值为9.5%,而中国户籍等体制影响的农业就业比例扭曲值为26%,当年总就业劳动力74041万人 。这样可以求出通过要素流量大小的体制闸板变量及其面积。从下列(1.1)式求出阻碍农村向城市人口迁移劳动力流量体制闸板变量的面积为12217万人/年。
其经济含义是由于资源输入端有体制闸板,使得一定的资源没能从非竞争性的低生产率领域,向竞争性的高生产率领域流动配置。资源流入端体制安排固定闸板连续变量的公式为:
Sprt为输入端体制闸板变量面积,yrt为市场竞争通过经济流量占总流量分布比例标准值,xrt为中国二元体制扭曲通过经济流量占总流量分布比例扭曲值,Tfrt为某一被利用资源经济流动总量。
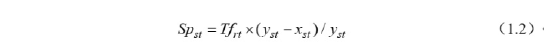
而从渐进转轨国家资源配置效率状态方面看,由于计划行政与市场机制二元体制并存,通过资源配置后在不同领域生产加工效率高低的不同,将前者和后者分别视为资源利用竞争性的效率标准值和非竞争性的效率扭曲值。从系统和资源输入—生产加工—产品输出看,可能输入的流量没有受到体制的阻碍,但其生产加工处在计划和行政干预的非竞争低生产率领域,这样我们可以求出产出端体制闸板变量及其面积。生产输出端体制安排固定闸板连续变量的公式为:
Spt为输出端体制闸板变量面积,yst为市场竞争领域生产加工资源利用效率状态标准值,xst为市场竞争领域生产加工资源利用效率状态扭曲值,Tft为某一经济资源生产加工输入总量。比如2023年非金融国有企业总资产为340万亿元,资产利润率为1.36%, 而竞争性非国有企业资产利润率为4.5%,以(1.2)式计算,生产输出端按照标准值应该输出但没有输出的产出流量,也即由非竞争性生产企业形成的资本流量闸板面积为237万亿元/年。
上式(1.1)和(1.2)中分布比例差值和效率状态差值,是体制安排的一种结果,但用其计算出来的经济运行中一定时间内输入端生产要素未通过的流量面积,或者输出端未能生产和转换的供给和需求流量面积。按照流体动力学的定理,在一定面积管道、一定流动速度和一定流动时间等条件下,因管道有闸板设置而未能通过的流量,实际就是这一体制闸板的面积。
(二)体制开关变量
国内外经济学界在全要素生产率的计算方面,忽视了一个中国作为渐进转轨经济体独有的特殊来源。在土地房屋市场化改革过程中,一旦原来没有价格的土地房屋进行交易,发生从没有价格到市场价格的国民收入溢值。中国现在土地资源配置体制总体上仍然是计划管理,除了有行政性一级垄断市场外,没有土地自主开放的一级和二级市场。城乡用地基本上不允许自主交易,其中建设用地从无偿供给与有偿使用,但形成了一个扭曲的土地二元配置体系。1978年开始的改革,没有对土地配置体制进行市场化改革。农村耕地林地承包和宅基地无偿分配给农民。对城市、工矿、交通水利等用地,实行地方政府从农村集体低补偿征用,给用地单位无偿划拨。从20世纪90年代起,政府仍然从农村城郊集体征用土地,而对外商建设用地进行有偿协议出让,随后除了对教育卫生、交通水利等公共用地进行无偿划拨供给外,对所有房地产、商业和工矿用地进行协议有偿出让,进入20世纪初陆续改革为在地方政府行政垄断市场上竞价出让体制。城市和农村土地禁止农村集体和拥有土地的单位在市场上交易,形成了城市一部分建设用地政府市场垄断交易与大量的城乡土地各类用地不允许和不能够交易的二元土地要素配置体制。
城镇住宅1998年前为无偿分配,后改革为商品化购买,原来无偿分配的住宅可以在二级市场上交易。因此,形成了土地和住宅市场经济运行的绝对体制安排,而且仅有0和1,定义为差分开关变量。数理表达为:
SW为开关;I(ω)表示差分变量,禁止交易为扭曲值0;允许交易为标准值1。
(1.3)式是一个管道或者全部关闭和或者全部打开的流量管控机制,潜在的土地房屋资产是一个存量,它并不会在一年中全部被交易流动。体制开关变量的数值,打开就是让流量100%通过,关闭就是控制流量100%通不过。如果可以交易通过,则其存量的输出流量通过的横截面积,决定于当年的市场交易率。
从生产要素看,一是土地的价格替代弹性弱。建设用地在20世纪90年代先有了一级双方协议出让价格,进入21世纪后对建设用地进行行政垄断的竞价出让,有了一级垄断市场出让价格。土地计划行政管理,以及禁止或阻碍有土地用益物权的使用者擅自交易土地,基本上没有城乡各类土地的二级市场。因此,整个国民经济,土地生产要素没有二级市场交易价格,也就谈不上与劳动和资本之间较为顺畅的相互替代,生产要素之间无法最优组合。二是在计划行政干预的非竞争领域,生产要素价格没有弹性,要素之间不能替代和最优组合。如非竞争性国有企业领域工资和利润价格没有弹性,劳动力和资本要素之间不能相互替代和优化配置。就可以查到的有关统计数据看,2009到2022年间,国有企业和民营企业资产平均利润率分别为2.18%和8.03%,职工平均工资分别为68057元和41326元。说明国有出资人忽视不同要素的投入产出消耗,并不以企业效率为导向;企业职工冗员严重,并且工资定价偏高,工资成本侵蚀了企业资本利润。如果建立现代企业制度,国有出资人—国有企业—工作员工之间的委托代理和聘用关系正常,劳动和工资价格信号,会使企业调整劳动数量和工资水平,劳动要素和资本要素之间进行合理配置,使利润产出最大化。
(三)二元体制标准值与扭曲值的差值变量
体制差值变量,实际就是竞争性领域资源分布比例及使用效果和非竞争性领域资源分布比例及使用效果之差。(1.1)和(1.2)式中的如劳动力农业就业比例、非金融企业资产利润率等标准值和扭曲值,国内可以在国家统计局、财政部和国有资产监督管理委员会网站,国外可以从世界银行等国际经济组织网站的数据中获得。我们这里定义为规则性的标准值和扭曲值。还有一种是如国有行政、事业和企业劳动力和土地要素,在竞争性领域和非竞争性领域的分布比例和输出状态标准值和扭曲值,我们在常态性的国内外官网数据库中无法获得,但它们又是计算国民经济生产力不可或缺的变量。需要对竞争性领域和非竞争领域的分布和状态数据,通过用抽样调查和统计推断的方式获得,据其计算这些流量的体制闸板面积。我们将其定义为非规则性标准值和扭曲值。
对于连续体制变量,无论是规则性的,还是非规则性的标准值和扭曲值,二者相减,即为生产要素和需求潜能方面的体制扭曲性差值变量。
一般体制差值的算式为:
z为体制差值,y为竞争领域体制比例或者效率效用标准值,x为竞争领域体制效率效用状态扭曲值。
然而,由于在计划行政和市场调节体系中,土地房屋实际上是一个禁止和允许的二元结构,因此在土地房屋竞争性和非竞争性领域分布和价格状态标准值和扭曲值,并不是连续变量,而是一对0和1的绝对差分变量,因此其差值,也是完全放开为1和完全禁止为0。
从上述分布比例和效率效用状态的分析,可以求出竞争性领域标准值和非竞争领域扭曲值之间一般性的体制差值,从生产要素流量方面,它代表了因计划行政体制的安排,未能流动配置的生产要素占总生产要素的比例;而从生产效率和需求效用状态方面,它代表了与竞争性状态相比,计划行政安排的经济主体未能转换出来的生产和需求流量。这一部分中阐述的是,作为经济运行系统的一种计划行政安排,我们可以从生产要素及其产出流量,以及资产是否允许交易,发现影响资源输入分布和资源输出状态的可以量化并用以计算的体制闸板和开关变量。发现体制变量,需要数学方法、经济学学理和物理学的思维方式,才能解决渐进转轨经济分析中体制不能变量化这一难题。然而,各个不同的体制性闸板和开关变量,如劳动力、资本和土地,并不是同质性的经济因素;作为生产要素的土地,与作为资产溢值的土地和房屋,它们贡献经济增长的功能也不相同;而投入产出、分配收入和支出需求的变量,各自运行的领域也有所区别。因此,这里笔者想说明的只是体制可以变量化,但作为异质的内生闸板和开关变量,一定要与竞争性领域和非竞争性领域的分布比例变量和生产效率和需求效用状态变量,按照一定的数理逻辑关系,组合成计算模型,才能科学地计算体制变动内生影响国民经济运行、产出和增长的因果关系。
与劳动力、资本和土地这样的流动实体变量不同的是,从法定以及国民经济统计的原则讲,体制性的闸板和开关变量没有价格。在公开的信息和公众调查的抽样统计上,无法表达闸板和开关私下价格之间,以及体制变量私下价格与流动实体变量透明价格之间的替代弹性,这也使差值变量影响经济分析的过程并不复杂。然而,闸板和开关实际是一种经济活动中的计划和行政禁止和许可的功能。安排和使用闸板和开关的权力者,可以将其在某种程度上交易给需要变通通过审批和许可的自然人和法人。其客观地创造了给权力拥有者诸多的寻租机会。具体实施的公务人员,有可能利用权力寻租,从中谋取个人的利益。因此,审批许可在需要办理与提供办理之间存在着私下但不透明和不规则的价格。这导致国民经济增加值与收入分配之间,可能会存在算不清楚的一些误差。王小鲁在统计核算和数额规模方面,对此有过较为深入的研究。
三、渐进转轨经济计算的数理逻辑
在确定体制变量后,需要明确变量之间的基本数学关系,包括定义转轨国家的自然经济增长特征、估算体制性剩余、区分不同类型全要素生产率(TFP),并改造生产函数,以及与宏观分配和需求模型相组合。通过理清体制变量的数理组合关系,设计计算的逻辑顺序,从而实现对渐进转轨经济的模拟和刻画。
(一)渐进转轨经济计算的两个基础模型
从纯粹数理分析的变量分类看,一般是流动实体变量、参数变量和状态变量。通过对渐进转轨经济的计算,相应地可划分出三类体制变量:一是闸板和开关固定实体变量,分别表示体制对经济流量阻碍的闸板面积、打开或关闭;二是分布比例参数变量,表示资源与潜能在竞争性领域与非竞争性领域分布的比例;三是效率水平状态变量,用以表示竞争性领域和非竞争性领域中各自的收入水平、价格高低、消费数量、投资规模等特征。
1.资源分布的比例与生产效率和需求效用
在渐进转轨经济中,体制作为一种外部安排作用于经济系统浙商配资,其对国民经济的影响主要体现于计划行政干预下资源在竞争性领域和非竞争性领域的分配比例。这种比例更多取决于不同领域资源使用的生产效率和需求效用的高低。
其数理供给和需求资源配置及效率的关系式为:
其中,Q为生产量、收入和需求,Res为生产要素资源规模以及收入和需求的潜在规模;(yr—xr)表示生产要素、收入和需求在市场竞争配置比例与计划行政配置比例间的差值;(yp—xp)则表示生产要素、收入和需求在市场经济配置效率和水平与计划行政配置效率和水平间的差值。
(1.5)式的经济学含义为:在一个经济系统中,一是稀缺资源的分布方面,当计划行政体制闸板面积逐步缩小时,淤积或者流动配置到非竞争领域的资源比例较小,流动到竞争性领域中的资源配置比例较大,市场化竞争程度提高;反之,当计划行政体制闸板面积逐步扩大时,淤积或者流动配置到非竞争领域的资源比例较大,流动到竞争性领域中的资源配置比例较小,资源配置市场化竞争程度降低。二是资源使用效果方面,当计划行政干预程度逐步减弱时,市场激励功能增强,资源使用的生产效率和需求效用逐步提升,整个国民经济的成本降低和盈利上升;而当计划行政干预程度逐步增强时,市场激励程度减弱,资源使用的生产效率和需求效用下降,整个国民经济的成本上升和盈利下降。
2.自然与产品土地房屋资产化溢值
渐进转轨经济市场化过程中一个特有的场景是:土地和房屋存在着允许市场交易和禁止市场交易的二元体制安排。当改革允许市场交易时,民法、商法、会计和统计等制度在某一个时点开始明确了其是具有市场价值的资产。但是,允许市场交易并不意味着目前正在使用和居住的土地和房屋会同时发生集中和大规模的交易,其交易率是一个长期的开始时边际上行,接着逐步平稳,再后来逐步下降的过程。
土地和房屋允许和放开市场交易后,其一旦发生实际的交易,完全不同于原有已经商品化土地房屋的年价格上涨溢值,其资产的市场价值发生了零到当年市场价格的溢值。从经济学的视角看,这是一种对自然资源和产品进行市场交易放开的改革,是其货币化和财富化的过程。货币化交易带来了国民收入的溢值。
土地房屋资产化溢值的关系式:
其中,Q0为土地房屋资产化改革溢值额;LH为土地或者房屋面积;r代表交易率;I(ω)r为允许交易(即1)或者不允许交易(即0);I(ω)p为允许交易存在价格或者为不允许交易不存在价格;P为土地或者房屋的价格。
(1.6)式的经济学的含义可以概括如下:首先,土地和房屋的市场化改革赋予了地理位置固定、无法流动的土地房屋以经济意义上的价值流动性。与可移动的劳动力不同,土地和房屋在物理空间上缺乏流动性。然而,在经济学含义上,如果是计划和行政管理体制,开关是关闭的,土地房屋既不能进行市场交易,也不能作为资产,在计划和产品经济运行中,土地和房屋是没有价格的固定实物,无法作为流体而流动;如果是市场经济,土地房屋能够市场交易、可以定价和成为资产,其价值流动的开关是打开的。在此场景中,土地房屋实物/计划分配体制,如果对其实行市场化改革,则变成了土地房屋/货币替代交易配置机制。尔后通过每年一定比例的交易率和一定水平的价格,虽然土地和房屋是固定的,流动体货币流量与土地房屋实物价值流量实现了相互转化,不动产在不同使用者中和不同使用领域,实现了互换和配置。
其次,土地房屋从无价格到发生交易时升至市场价格的溢值。从微观视角可知,投资者对其需要支付购买土地和房屋的费用,而卖出者则获得了原无价格土地房屋升至市场价格水平的收入。从宏观国民经济核算的角度,生产法、收入法和支出法计算的生产增加值和国民收入需要相互平衡。在宏观层面,通过一定的交易率和价格水平,形成了基于收入法计算的国民收入。尽管这些收入并非通过生产直接创造,但随着市场交易的放开,土地房屋的货币化和资产化使其发生了零到市场价格的溢值。它是一种渐进转轨经济二元体制市场化方向变动中,生产活动以外产生的特有余值,应当计入收入法的GDP核算之中。
(二)转轨国家的体制性剩余
体制性剩余是在国民经济中由于计划行政与市场机制的扭曲,从而导致体制内的生产要素、潜在资产和潜在需求能力被禁锢的部分。在体制不变或者体制复归变动场景,其表现形式是生产要素、土地房屋资源和需求能力的浪费、闲置、低利用;在体制正向变动场景中则表现为改革缩小体制挡板和打开开关释放剩余,成为增加产出和财富的增长潜能。
从经济学方面,最早提出经济剩余概念的是美国激进经济学保罗·巴兰。他将其定义为:在特定的自然环境和技术条件下,借助可利用的生产资源所能生产的产出与可能的基本消费之间的差额,即为潜在的经济剩余 。马歇尔在分析微观经济领域内消费者行为时提出了消费者剩余,其为购买商品时消费者愿意为某物所支付的价格与它实际支付价格的差额。 刘易斯在其发展经济学体系中,提出农业国家工业化转型过程中结构性剩余劳动力,即在一个工业部门劳动工资水平线上,农业部门对工业部门有无限剩余的劳动力供给 。
从国民经济运行和产出的动力因素看,与发展中国家结构性剩余劳动力有所不同。按逻辑分类,供给方面包括生产中的是劳动、资本和土地体制性剩余要素,财富方面则表现为土地和房屋资产未被释放的潜在溢值;需求方面则表现在体制性扭曲禁锢的居民消费、民间投资、国际直接投资和出口等潜在的需求。从国民经济运行和产出的结果看,通过体制改革,体制性剩余的生产要素和需求潜能得以释放,从而形成价值增值和财富积累。总之,经济剩余是社会发展进步的基础和动力源泉 。
除了渐进转轨特点外,中国还是一个发展中国家。根据刘易斯二元结构经济理论,农业部门有无限剩余的劳动力。那么,如何区分中国体制性剩余劳动力和结构性剩余劳动力?按照发展中国家低水平值和发达国家标准值衡量,2022年世界银行数据表明,与中国人均GDP水平相当(上下5000美元范围)的其他发展中国家,其加权平均农业就业劳动力占总就业劳动力的比例为10%,而发达国家为3% ,相减与中国发展水平相当发展中国家与发达国家的结构性剩余劳动力比例为7%。
中国是一个体制与结构双重二元转型的国家。因此,需要从学理上将体制性剩余和结构性剩余分解和区别,并加以计算。根据2022年世界银行的数据,中国农业就业劳动力占总就业劳动力比例为26%,与发展水平相当国家的标准值10%相比,差值为16%。这一差值应定义为由于转移人口户籍、子女教育、医疗、居住和养老等计划行政安排的扭曲禁锢体制剩余劳动力的比例。而与发达国家农业就业比例值3%相比,中国2022年的差值为23%。在此基础上,减去与同发展水平国家体制剩余农业就业比例差值16%,得到中国结构性剩余劳动力就业比例为7%,这一比例与其他同样发展水平相当的国家结构性剩余劳动力差值一致。
(三)体制不变的低速自然经济增长
自然经济增长,即不干预经济运行系统状态下的经济增长。在市场经济状态下,自然经济增长一般等于潜在经济增长。潜在增长速度为:在经济系统充分利用资源并不发生严重通货膨胀情况下,经济增长所能达到最大速度。一般来说,实际经济增长速度可能表达没有政府干预自然状态下,扣除通货膨胀因素后而形成的经济增长速度。但在市场经济中,也会出现居民愿意持有货币而消费意愿下降以及投资者倾向储蓄而投资意愿减弱的现象。这就导致经济系统中的货币流动性不足,从而造成供给大于需求,进而使得实际或自然增长速度低于潜在经济增长速度的问题。
在渐进转轨经济中,自然经济增长速度是体制不变的增长速度。因其增长的一部分动能依赖于被体制禁锢剩余的释放,因此体制不变的自然经济增长速度低于潜在经济增长速度。而当体制发生变化时,则有两种增长结果,一是体制向改革释放增长潜能的市场化方面变动,实际经济增长速度将会高于体制不变的自然经济增长速度;二是体制向更加禁锢生产要素和抑制财富溢值的计划行政管制方面变化,实际经济增长速度将会更加低于低水平的自然经济增长速度。
因此,在实际经济增长速度低于潜在经济增长速度时,从不同体制的经济体看,市场经济体制国家,主要是通过政府扩张性的财政政策和货币政策刺激,向经济系统注入流动性,从而在经济增长下行时,扩大总需求,抹平经济收缩周期,使实际的经济增长速度恢复到潜在的经济增长速度水平上。而渐进转轨国家,抹平经济下行周期,除了使用扩张性的财政政策和货币政策刺激辅助之外,还可以采取这样一些措施:一是通过改革释放体制禁锢的工作岗位,增加就业机会,提高居民收入水平,增加政府民生支出,从而增强居民消费需求;二是保护民营企业产权,改善营商环境,扩大竞争性企业的投资需求;三是进一步与国际经济体制接轨,优化对外经济顺畅循环中的一系列体制机制,通过扩大开放,稳住并吸引国际直接投资,提高出口占GDP的比例,从而增强外部需求对经济增长的拉动作用。
(四)渐进转轨改革TFP与创新TFP
现代经济学教科书和其他文献关于TFP来源的解释,首位是技术进步,包括知识进展、技术研发应用,还有生产工艺、设备等方面的创新;其次生产过程中各个环节的专业化分工;再次是组织创新,包括公司组织结构的优化等 。实际上,这样的定义,逻辑上基于体制是市场经济和体制不变的假定。这与中国非竞争和非市场化领域中的低效率和财富抑制,以及体制改革会提高生产率的实际国情并不相符。
这部分讨论渐进转轨经济计算的两个基础模型,旨在从经济学理上找出分解改革TFP的数理逻辑和方法。中国TFP水平的提高,不仅来源于现代经济学已有的定义,还来自于以下两个方面:(1)市场化配置改革释放体制性剩余,提高要素投入的生产率。其内在的机理是,资源利用比例方面,改革促使劳动、资本和土地等生产要素,从体制性剩余的非竞争性领域向竞争性领域流动,而竞争性领域效率要比非竞争领域高,获得生产率提高的增加值。(2)前面已述的原来无价格土地房屋资源体制上放开和允许市场交易,其一旦交易发生零到市场价格的财富溢值。
一些学者和管理者们以为,只要有政府计划管理和指导下的行政教育、知识积累、研发投入、专利发明和技术产品化等,就会提高一个国家的创新TFP水平 。实际上教育、研发和新产业等体制从计划行政向着观念开放、包容失败、创新专注和向市场选择的方向改革,才能形成支撑创新人才培养、技术发明和新技术产业化的经济社会机制。因此,创新TFP水平的高低,也取决于教育、科技以及企业等方面的计划行政体制是否向社会化和市场化方向转型。
从中国1978年以来的经济增长相关数据发现,一方面,当企业制度、人口迁移和市场配置等整体改革的力度较大时,创新TFP增长的速度加快;而整体改革的力度边际递减时,创新TFP增长的速度放慢。机理在于企业组织得到优化、专业化分工和协作得以深化和竞争主体分布结构效率提高。另一方面,在经济景气和增长速度较高时,创新TFP水平上升;而在经济下行和增长速度放缓时,创新TFP水平则下降。其原因在于经济上行时,创新人才和技术装备得到了较为充分的利用;而经济下行时,出现其闲置率上升和利用率下降的情况。
当然,TFP的提高也与一个国家的发展阶段相关。鲍莫尔认为,在工业化过程中,物质生产时代的专业化分工和大规模化生产,提高了生产率。进入后工业化发展阶段后,服务业在经济中的比重逐渐提高。相比工业部门,服务业通常是劳动密集型行业,生产率水平较低。然而,随着工资上涨,劳动成本逐步增加,造成TFP水平的下降,影响经济增长速度逐渐放缓 。
从人均GDP水平、城市化率和农业就业比例,以及农村户籍人口分享工业化成果来看,中国仍然是一个尚未完成工业化的发展中国家,但是从经济结构的变化看,服务业的比重正在快速提高;从经济景气的角度分析,国内人口的老龄化、国际出口和国际直接投资的不确定性,都加大了经济增长下行的压力。因此,未来10年创新TFP对中国经济贡献的增长率,可能维持在0.3%到0.6%之间。
渐进转轨经济全部TFP包括:市场化配置TFP、土地房屋资产化溢值TFP和创新TFP。具体公式如下所示:
Tt为全部TFP,Ti为教育积累、技术研发和新技术产业化获得的全要素生产率,Tc为要素市场化配置全要素生产率,To为土地房屋资产化交易财富溢值全要素生产率。
(五)体制禁锢的国民经济产出损失
计划行政管理和干预的非竞争性领域,其效率处于低水平状态。因此,在渐进转轨经济中,因体制扭曲程度不同,其总资源在竞争和非竞争性领域的分布比例也有所差异,从供给与需求两个方面决定着总国民经济收入的损失。计划行政管理的非竞争性体制扭曲,由于低效率生产和土地禁止交易、不是市场经济意义上的财富,在2023年总计造成了国民经济301122亿元的产出损失。
基于上述两个假定和一个运算方法的前提下,我们用渐进转轨经济第一个基本模型及其有关数理关系计算,得出2023年因生产要素配置体制扭曲损失的生产增加值为276765亿元。(1)体制性剩余劳动力为12727万人,乘以按照当年劳动产出系数47.02%计算的劳动生产率,得出劳动投入产出损失的增加值为101878亿元。(2)体制性剩余资产2750067亿元,资本产出系数为26.29%,资本投入产出损失的增加值为108106亿元。(3)体制性剩余土地规模为13787万亩,土地产出系数为26.29%,土地要素投入产出损失的增加值为66781亿元。
我们基于本文中渐进转轨经济第二个基本模型(1.6)及其有关数理关系,进而计算2023年全国土地总资产达7408462亿元;因土地禁止和不能交易,损失24357亿元国民收入。其中,除去不可交易建设用地部分,可交易建设用地在53000万亩左右,按照影子价格60万元/亩计算,其价值为3180000亿元。如果放开交易市场,假定交易率为5‰,可获得15900亿元资产溢值;农业林地、园地、草地和耕地共计845692万亩,同样按照影子价格5万元/亩计算其价值为4228462万亿元,如果放开市场,交易率为3‰,可获得8457亿元资产溢值。
四、构建渐进转轨经济的联立仿真系统
渐进转轨经济的数理逻辑模型在某种意义上是一种用于观察体制变动如何影响经济运行、产出和增长的计算系统。尽管体制可以变量化,从而将其变动对国民经济供给-分配-需求的产出和增长的内生影响进行量化,但改革本质上是解除体制禁锢和释放体制剩余的行动。通过体制内生变量,我们可以计算并明确体制剩余的规模和分布。然而,是否推进改革、改革哪些体制、改革是齐头并进还是分步实施、改革力度如何以及由谁来推动改革,这些都取决于人们的选择、规划、决策和行动。换句话说,现有体制是人们过去选择和建设的结果;当发现体制对国民经济效率、溢值、产出和增长产生负面影响时,对其进行调整和改革也是人们进一步筹划和行动的体现。因此,这一模型也是一种能够对不同改革力度、领域和组合方案进行仿真测试的数理工具,为理解体制改革对经济运行、产出和增长的不同影响提供参考。
(一)潜在增长计算:回归古典生产函数
转轨经济增长机理的研究不仅旨在解释过去的经济现象,更重要的是应对未来自然经济增长速度下降的压力,探索通过体制改革释放经济潜能的方法,从而将经济增长保持在中高速水平。本部分讨论的(1.8)式不同于自然经济增长的对数函数模型,其主要用于仿真预测未来长期内,通过体制改革释放的潜能对经济增长的贡献。一方面,目前尚未定价的土地若开放市场交易,其从零到市场价格的溢值成为增长的动能;另一方面,通过要素的市场化配置,可以显著提高其生产率,进一步推动经济增长。
从亚当·斯密到马歇尔,经典经济学认为,一个国家的全部产品由劳动、资本和土地三要素生产,其价值增值分别对应工资、利润和地租。然而,在现代经济学计算模型中,土地要素往往被剔除,其原因主要有两点:一是土地面积在一国范围内是固定的,在土地开发成熟的国家,土地供给呈常数,对应一条垂直的供给曲线;二是土地主要用于农业,而随着经济发展,发达市场经济国家的农业增加值占GDP的比例逐渐降低,直至可以忽略不计。
然而,中国的情况有所不同。首先,中国是一个渐进转轨国家,在非竞争性领域存在大量闲置、浪费和低效利用的土地,即所谓的体制性剩余土地。通过市场化改革,将计划行政分配和管理的土地交由市场配置,可以盘活这些体制性剩余土地,使其重新进入生产领域,成为推动经济增长的潜在动力。其次,中国作为一个国土面积位居世界前列的发展中国家,已开发利用的土地比例仍然较低,土地开发利用水平不高。通过工程调水等技术手段,可增加可利用土地面积,特别是建设用地,从而使土地供给曲线向上向右移动,进一步释放土地要素的经济潜力,为经济增长提供动力。
体制性剩余要素通过市场化改革提高生产率,以及土地资产化改革获得货币化和财富化溢值,其贡献新经济增长速度的公式为:
dGt/Gt—1为由未来供给侧体制改革获得的GDP增长;AL为未来资产化的土地总面积;R为资产化建设用地交易率;P为城乡建设用地影子价格;I(ω)为0或者1;W为总就业劳动力;K为非金融企业总资产;L为总建设用地面积;dL调水新增建设用地年增量zw为劳动力配置体制差值,zk为资本配置体制差值,zl为土地配置体制差值;mi为对应项的体制剩余生产要素分摊系数,i=1,2,3,…,劳动、资本和土地要素产出系数a、b1、c1,a+b1+c1=1。
(二)需求侧的体制改革与均衡增长潜能
自1978年以来,改革开放显著提高了人民生活水平,推动了居民收入和消费的增长。20世纪80年代,在有效率的乡镇企业、城市集体企业和个体经济的轻工业品供给支持下,中国实现了经济结构的初步转型,这一阶段的结构转型为经济增长提供了重要推动力。然而,进入20世纪90年代后,中国经济逐步进入重化工业发展阶段。这一时期,尽管国有企业效率普遍较低,但其更适应竞争性较弱的上游产业,如原材料和装备制造业。加之政府通过财政投资和信贷导向,优先向国有企业投入,使得经济结构发生显著变化。从生产角度看,GDP中生产资料的比重逐步上升,而消费品的比重逐步下降;从分配角度看,居民收入分配的比例逐渐降低,政府和企业的收入比例则不断提高;从需求角度看,居民消费支出的比重逐步下降,而政府和企业投资需求则显著上升。这一阶段,居民收入和消费占GDP的比例,与其他国家相比虽然偏低,但还是处在一个较为合理的水平上。
进入21世纪以来的20余年,中国经济增长模式呈现出显著的结构性特点。从GDP的生产内容来看,地方政府通过依赖巨额土地财政和大规模债务,包括中央投资,推动了区域、城镇和乡村的公共基础设施建设,内容包括街区、楼宇、场馆以及交通和水利工程。同时,土地供应被地方行政垄断并通过单一渠道供给,房屋则由房地产开发公司建设并单一渠道销售,为城镇居民以及迁移至县城的农村居民提供居所。然而,从收入分配及其流动的角度分析,这一模式带来了显著的不均衡:低补偿征地减少了农村和城郊居民的收入,而高房价进一步转移了城镇居民的可支配收入,导致居民收入占GDP的比例进一步下降。随之而来的是居民消费占GDP的比例逐步下滑,消费市场需求持续不足。同时,上游生产资料产业出现产能过剩,交通和其他公共设施也面临利用率不足的问题。居民收入水平低和消费需求不足,成为当前经济增长缺乏动力、增长速度下行的重要原因。
分配环节和需求领域中也存在市场经济下的标准制和计划行政干预体制的扭曲值。具体而言,2023收入分配占GDP比例方面,我国居民收入比43%,政府收入比(包括一些乱收费等隐性收入)为33%;而成熟现代体制的市场经济国家居民收入比为60%左右,与中国同发展水平发展中国家政府收入比例为28%左右。国内需求占GDP比例方面,我国居民消费支出占比为29%,政府向居民民生转移支出占比7.7%,非国有投资占50%;而市场经济国家,居民消费占比在70%左右,与中国发展水平相近国家政府民生转移支出占比20%,非国有投资占比80%以上。外部需求方面,根据世界银行数据,国际直接投资流入占GDP比例,世界平均水平0.7%,与中国人均GDP水平相近发展中人口规模较大国家为3.3%,中国0.2%;货物出口占GDP比例,世界平均水平为22.57%,与中国发展水平相近国家33%,中国为18.8%。
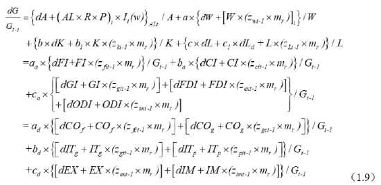
从宏观经济方面,本文采取了生产函数模型、总量分配模型和凯恩斯宏观需求模型动态联立的方式,观察从供给到分配,再从分配到需求的宏观经济流动、循环和平衡。据此动态体制结构性的流程,笔者假定体制不变为自然经济增长,将体制不变供给、分配和需求的流动体变量部分,与体制变动影响的生产率、财富溢值、收入提高和需求潜能相加和联立,建立了以下供给-分配-需求联立计算系统(1.9)。
dG/Gt—1为GDP增长,dA为创新TFP增量,dW为自然增量劳动力,dK为自然增量资本,dL为自然增量土地,dLd为工程调水新开发土地,A为全要素生产率(TFP),AL为资产化改革的项目;W为劳动力,K为资本,L为土地,a和b是体制不变自然投入时的劳动和资本产出系数,相加为100%;a、b1和c1是劳动、资本和土地市场化改革时的投入产出系数,相加为100%;dFI和I为居民自然新增收入和居民总收入,dCI和CI为企业自然新增收入和企业总收入,dGI和GI为政府自然新增收入和政府总收入;dCOf和COf为居民自然新增消费支出和居民消费总支出,dCOg和COg为自然政府新增转移民生支出和政府转移民生总支出,dITg和ITg国有自然新增投资和国有总投资,dITp和ITp为民间自然新增投资和民间总投资,dFDI和FDI是国际直接投资新增额与国际直接投资总额,dODI和ODI是对外直接投资新增额和对外直接投资总额;dEX和EX为出口自然新增额与总出口额,dIM和IM为进口自然增长额与进口总额,分配环节和需求领域式中的aa、ba和ca分别为居民、企业和政府可支配收入占国民总收入的比例,相加为100%;ad、bd和cd分别为需求侧投资、消费和出口各自占GDP的比例,相加为100%;It(w)为开关差分变量1或者0,z为各项目差值,其乘以各对应项目为体制性剩余或者潜能,mi是体制改革对剩余和潜能的年度分摊强度,其总和为100%。
式(1.9)构成了一个整体计算系统,其中部分一级变量通过二级变量的计算汇总得出。在供给侧,市场化配置与土地资产化溢值的实现中,农业用地包括可交易的园地、林地、草地及耕地,而建设用地则涵盖可交易的农村宅基地、农村其他建设用地、工矿用地以及城镇的工商、事业与居民用地。体制性剩余劳动要素则包括农业领域中的过剩劳动力、国有行政机构及企事业单位的冗员,以及非正式灵活就业率过高所导致的低效率劳动力。分配环节,主要表现为土地交易收入在政府与农民之间的分配流动扭曲,城镇高房价对居民收入的转移,政府税收、非税收入及社保缴费在GDP中占比的变化。需求侧,主要包括高房价及房贷对消费的挤出效应,政府民生支出比例过低的影响;同时,还有国有与民间投资的GDP占比变化。这一切,影响着国内居民就业、收入支出及消费品生产供给的循环。最后,GDP中出口和国际直接投资占比的变动,则影响总需求的强弱。计算的二级模型,因篇幅的限制,这里不再细述。
五、计算与验证
目前我们所构建的(1.9)供给-分配-需求联立模型计算系统,不仅能够刻画渐进转轨国家体制内在影响下的经济增长状态,更重要的功能是作为一个内生冲击型模型,用于评估某项改革对产出和增长的内生推动力。尽管在非竞争领域中存在诸多僵化的结构性限制和缺乏替代性,但市场改革的推进能够在一定程度上促成交叉和替代效应,还由于能够估算体制性剩余,我们能够对劳动、资本和土地要素市场化及土地资产化改革的不同组合进行量化分析。通过综合考虑供给、分配及需求环节中的各项改革措施,我们可以大致估算不同体制改革方案的设计及其实施对未来经济增长的贡献。
(一)一些假定和计算的考虑
笔者主持的团队在上述基本模型的基础上,假定体制不变的z为零,视其为渐进转轨国家的自然经济增长。团队进一步计算和定义体制禁锢要素和抑制财富化带来的产出损失,同时提出并定义和推算了“体制性剩余”,将其视为未来增长的巨额潜能。在二元体制经济的计算中,通常会遇到诸多差值变量,如前述的(yr-xr)和(yp-xp)。如果尝试建立一个供给-分配-需求的国民经济运行和增长联立模型系统,这将变得非常庞大且复杂。大多情况下,变量越多越细,运算的复杂度越高,反而可能导致结果的准确性降低。
差值变量z在模型中的重要性体现在其作为核心变量的作用,特别是对于非竞争领域中由计划行政干预所形成的扭曲值z的观察。通过分析z的内生变动对国民经济供给-分配-需求系统运行及产出增长的影响,可以揭示体制变动对经济的推动机制。具体而言,z的缩小意味着改革放宽了体制的限制,相当于缩小了“闸板”的面积,从而促进了输入或产出的流量增加;若z保持不变,则表明体制未发生变化,闸板的面积维持原状,导致输入或产出的流动增量部分为零;而z的扩大则表明体制未变但闸板的面积增大,进而导致输入或产出的流量减少。
假设非竞争领域和计划行政干预对经济的禁锢作用,我们定义并集中观察绝对剩余。在本文中,通过式(1.5)和(1.6)的推导,我们可以计算相对剩余。具体而言,农业领域的就业分布差值部分劳动力,尽管他们在农业领域的劳动生产率明显低于工业和服务业领域,但仍然对生产有所贡献。然而,假如这些劳动力转移至工业和服务业领域,农业领域的劳动生产率将会提高,从而弥补这些劳动力在农业领域与工业和服务业领域之间的生产率差异。基于这一逻辑,我们可以假设,通过分布差值计算的体制性剩余生产要素,在未能转化为生产性投入的情况下,实际上属于被体制所禁锢的绝对剩余。
改革的倒V型冲击观测。在进行未来仿真预测时,我们可以通过观察自1978年以来中国大规模体制改革的历史冲击,分析其所形成的三次增长曲线,并据此推算未来各年增长率与改革强度之间的分摊关系。或者,可以改造一般动态均衡(DSGE)模型,进一步探讨改革内生对稳态冲击的非线性变化,特别是观察增长曲线呈现的倒V型态势。之所以如此分析,是因为在核算渐进转轨经济增长的历史时,输入数据本身呈现非线性冲击状特征。然而,对于未来,非线性冲击的具体形式尚不可预知。因此,研究者通常采取回归模拟方法,借鉴历史数据,或者采用DSGE内生冲击法,观察这些冲击如何影响稳态结果。
(二)增长奇迹的核算解释和流程评论
对中国改革内生推动经济增长速度的历史核算,与公式(1.8)和(1.9)的计算方式有所不同。首先,土地缺乏二级交易市场,未通过市场化配置盘活土地生产要素,因此土地要素的体制性变量变动为零,可以忽略不计。其次,尽管存在各种标准值和差值,改革过程本质上是扭曲值乘以边际变动的过程。然而,如果将分配环节和需求侧与供给侧联立分析,会发现收入和消费在改革过程中逐步释放,并在后期出现扭曲。
从1978年到2010年,GDP增长率为10.02%。从供给侧来看,劳动和资本要素的自然投入贡献了6.9%的经济增长。改革和创新方面,具体贡献如下:(1)农业劳动力流向工商业,提高了生产率,城镇单位职工工作效率提升,合计贡献了0.36%的经济增长;(2)非国有资本在非金融企业中的占比下降,资本配置生产率提高,贡献了1.51%的经济增长;(3)土地有偿出让和城镇住宅商品化改革产生的资产溢值,平均贡献了0.48%的经济增长,主要集中在2000到2010年间;(4)1978年对外开放引入了技术、管理经验及技术装备,同时教育正规化提升了就业青年的劳动素质,这一时期的创新TFP贡献了1.08%的经济增长。从笔者主持开发的渐进转轨经济供给—分配—需求运算系统(1.9)模拟仿真观察,在供给增长来源分解的基础上,下面分阶段的分配环节和需求端整个国民经济的动态流动循环螺旋式变动解释如下,见图1所示:
图1 居民政府企业收入和居民消费支出变动
从这一阶段的各个时期看,1978到1988年,GDP年均增长率为10.22%。增长来源于一系列改革措施的实施:改革初期从农村开始,农户联产承包制的推行,乡镇企业的迅速发展吸收了大量农民就业,农村城镇集贸市场兴起,后期进一步放开农民进城务工政策,显著增加了农民的收入。城市方面,改革措施扩大了国有企业的自主权,职工工资实行计件绩效分配,并兴办了大集体企业吸纳知识青年就业,同时解禁了个体工商户进行长途贩运,这些政策有效提高了城镇居民收入。经济增长的主要动力源自于农业内部和城镇企业职工劳动效率的提高。二元体制和结构性剩余劳动力的释放与转移推动了劳动力要素配置的生产率提升。GDP的产出和增长中,轻工业的发展占比较大,消费品的比重较高,社会从生活品匮乏逐渐过渡到解决温饱问题,这为经济的快速增长提供了强劲的动力。
1992到1997年,GDP年均增长率为11.29%。居民收入和消费在这一时期仍持续增长,主要得益于农民进城务工流动的加快及沿海加工企业用工需求的增加。然而,经济发展逐渐进入重化工业阶段,企业资本积累加速,且效率较高的非国有资本在全社会非金融企业总资产中的比例,从1991年的54.50%提高至1997年的63.20%。企业分配占GDP的比例也显著上升,从1978到1988年平均为7.66%,上升至1992到1997年的35.09%。在市场销售方面,生产资料产品的比例上升,工业化和生产资料的积累为经济增长提供了更为强劲的动力。
2001到2010年,GDP年均增长率为10.55%。从结构上看来源主要有以下几个方面:(1)加入WTO带来的外部需求及循环效应。出口占GDP的比例上升,其中民营企业在出口产品生产中占主导地位;港澳台和外资企业大多集中于制成品生产领域,既扩大了出口,又满足了中国国内市场的需求。这两个方面不仅推动了资本和劳动的投入,推动了供给侧增长,也促进了投资需求的增加,带动了就业和居民收入水平的提高,同时急速扩张了出口需求。(2)房地产开发与城市基础设施建设的方式对这一时期经济增长的促进作用。到2000年,中国经济发展已经完成了从贫困到温饱,再到初步小康的转变,进入了满足居民住房需求和加快城市建设的阶段。这一阶段,政府通过低补偿征用农村土地,并将其划拨或低价出让给工业招商和基础设施建设项目,再通过市场价出让土地用于住宅和商业楼宇建设。建筑业、房地产业及与之相关的金融业增加值快速增长。
(三)未来改革与增长的仿真展望
中国未来经济增长的潜能和空间,主要来源于改革所释放的体制性剩余生产力和被压抑的高水平居民生活需求潜力。这一潜力既是中国渐进转轨经济增长奇迹的深层机制,也是中国未来通过进一步改革释放巨大生产力的来源,从而为实现经济中高速增长提供了希望。关于这一点,笔者在其他文献中已有相关论述,这里不再赘述。基于笔者主持研发的渐进转轨经济供给-分配-需求运算系统(1.9),对未来2025-2035年进行的仿真预测表明,如果能够推进大力度的关键领域体制改革,经济增长中位水平可以达到5.5%的速度。
1.供给侧改革与增长的仿真估算
从本文的语境出发,供给侧改革的核心在于缩小体制中的“闸板面积”,通过打破阻碍劳动、资本和土地等生产要素在输入端及生产环节的流动和配置障碍,使这些剩余要素能够顺畅流动并盘活配置到高效率的生产场景中,从而优化资源利用,提高要素的生产率。改革的另一重要方面是打开那些原本禁止交易的土地和房屋等未定价的生产和生活资料市场,使其具备交易性和价格,成为可以交易的资产,一旦发生交易,即可实现从零到市场价格的溢值,进而成为经济增长的重要动力来源。
仿真推动关键领域市场化体制改革的增长潜力为3.5%,具体贡献分解为:(1)通过创新体制改革及其他方面的总体改革,激发研发人员的积极性,增加技术发明并加快新技术产业化,促进创新全要素生产率由负转正,贡献经济增长率0.5%;(2)在生产要素市场化方面,落实人口迁移、劳动力流动、户籍、教育、医疗和居住等改革,以及减少国企职工冗员率的治理改革,能贡献1%的经济增长率;推动调整国有企业的经济布局、促进民营经济发展并加快国有企业现代企业制度建设,预计贡献0.6%的经济增长率;改革土地计划行政管理体制,放开土地的一二级交易,盘活体制性剩余土地,提升土地要素的生产率,预计贡献0.4%的经济增长率;(3)推进土地和房屋的资产化改革,并使其能够定价和交易,货币化和财富化带来的溢值,预计贡献1%的经济增长率。
在假定体制不变的情况下,仿真计算,纯粹的要素投入产出贡献的自然经济增长率为2%,加上述关键体制改革获得动能的模拟,2026-2035年中国平均经济增长中位数能够达到5.5%的速度。
2.收入和需求侧改革与增长的仿真估算
从供给侧要素和资产市场化改革,其形成的收入流动到分配领域。而收入分配和需求侧的体制改革非常重要,其核心目标在于提高居民收入水平,增强居民消费支出的能力,扩大民营企业的投资比重,这种改革将有助于实现收入分配、消费和投资需求的同步增长,并通过推动供给侧的改革,形成相互促进、良性平衡的经济增长模式。
改革分配结构方面,到2035年,居民可支配收入在GDP中的比重将从2024年的43%提高至48%;结合政府的转移支付,居民可支配收入的总占比将从当前的46%提升至60%。与此同时,政府可支配收入的比重将从2024年的34%下降至29%。这一转变的具体体制改革包括:废除集体土地征用为国有并将土地出让金作为地方财政收入的体制,允许农民的宅基地进入交易市场,农村其他建设用地及农业用地直接进入土地市场;赋予农民土地的财产权和发展权,使其可以基于土地开展就业、创业和经营,从而增加收入;此外,还将改革国有经济体制,扩大并促进民营中小微企业的发展,创造更多的就业机会,提升劳动者的收入水平。
在改革需求侧体制方面,推动居民消费支出、政府民生支出和居民总消费占GDP的比例,到2035年分别从当前的30%、8%和36%提高到45%、21%和66%。此外,非国有和国有投资在总投资中的占比也将发生变化,从各自的49.7%和50%变化至77%和20%。在外部需求方面,逆势扩大对外开放,除了恢复国际直接投资的比例外,还计划将出口额占GDP的比例从17%恢复至25%。
通过仿真计算,实施分配和消费侧的体制改革,居民消费支出和政府民生支出的增长将增强消费需求,预计能贡献2.27%的经济增长率。同时,民营企业、居民和外资三大投资需求的扩大将进一步推动经济增长,预计贡献2.23%的经济增长率。在进出口方面,未来总出口增长争取保持在5%左右的水平,净出口增长年均保持0.35%的增长速度,加上自然经济需求侧的1.65%增长率,预计中位数可实现5.5%的经济增长速度。
六、研究结论及展望
本文从中国转轨经济的国情出发,基于经济科学的视角,初步解决了体制因素无法内生化和变量化的难题。通过这一方法,结合流动实体变量,并按照一定的数理逻辑关系,构建了渐进转轨国家体制改革与经济增长之间的运算系统。本文中体制不同变动的仿真结果表明:当体制闸板面积缩减且开关变量调整为1时,将释放体制性剩余,从而加速未来经济增长;当体制保持不变,即闸板面积不变和开关变量保持为0时,未来经济的变动趋势将表现为要素投入的自然低速增长;而当体制回归计划行政模式,闸板面积扩大,且土地关闭开关增多时,经济增长将趋向自然低速,并且增长速度将进一步降低。这为准确制定体制改革方案提供了经济科学的工具和方法论支持。
发展是第一要务,改革是关键。只有集中力量推进标志性的体制改革,采取大力度的转轨措施,才能释放经济中高速增长的体制剩余和巨大潜能,这将决定中国发展的未来命运。中国经济未来能够实现中高速增长源于体制性剩余生产要素、未资产化土地和居民收入消费提升的空间。通过体制改革,释放这些潜能将为中国的经济增长提供巨大的动力。关键是要有针对性地推进体制改革,优化要素配置,提高生产效率,特别是通过土地货币化和资产化实现财富溢值。与此同时,增强居民和民营企业的消费和投资需求,并通过体制性对外开放恢复和提升出口和国际直接投资占GDP的比例,这将推动经济增长的持续性。通过改革,预计到2035年,中国有望进入初步现代化国家的行列。
最后需要说明的是,本项渐进转轨经济计算的数理逻辑体系只是一个初步的研究,肯定存在着许多不完善的方面,需要广泛的讨论和改进。笔者主持的团队计划进一步进行计量经济因果验证、投入产出、CGE结构传导和DSGE内生变动对稳态冲击等方面的深入和扩展研究,以形成更多的方法、更多的功能以及更加体系化的渐进转轨经济数理、计量、均衡和增长等经济学研究进展和成果。
因篇幅,参考文献略。
Gradual Transition and System Innovation in Mathematical Economics: China‘s Practice
ZHou Tianyong
(Institute of Global Governance and Development, Renmin University of China, Beijing 100096)
Summary:China, as a nation undergoing gradual transition toward a market economy, presents unique challenges when applying conventional mainstream models with institutional invariance assumptions to analyze its economic growth. Such approaches prove inadequate in capturing the institutional dynamics inherent to progressive transition economies. The endogenous integration and operationalization of institutional factors remains a critical theoretical challenge in economics. This study proposes a methodological framework that: (1) Quantifies the dual allocation ratios of key resources between administrative planning interference and market mechanisms, while evaluating their differential efficiency states across non-competitive and competitive sectors. (2) Analyzes institutional impacts through the real estate prism, particularly land transaction regimes characterized by binary valuation flow rates (0 or 1) under transaction prohibitions versus permissions, and price existence versus non-existence. By defining distortion indices for non-competitive sectors and benchmark indices for competitive sectors, we establish mathematical logic for dual-system transition economies and construct simultaneous equations to compute both institutional residuals in national economic output and growth effects from structural institutional reforms. Empirical analysis through historical data input not only interprets past growth trajectories but also simulates potential growth dividends from future institutional optimization.
Key Words:economic reform; gradual transition; economic growth; mathematical logic
海量资讯、精准解读,尽在新浪财经APP
责任编辑:江钰涵 浙商配资
倍倍网提示:文章来自网络,不代表本站观点。
- 上一篇:蚂蚁配资 北京门头沟多部门协同保障老年人权益
- 下一篇:没有了




